-13 °С
Облачно
80 лет Победы
Все новости
Культура
8 Октября , 15:09

Теле- и радиовещание будут временно отключены

Это связано с профилактическими работами

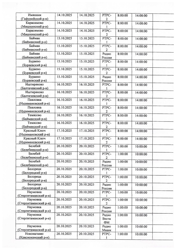
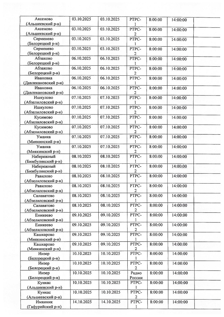
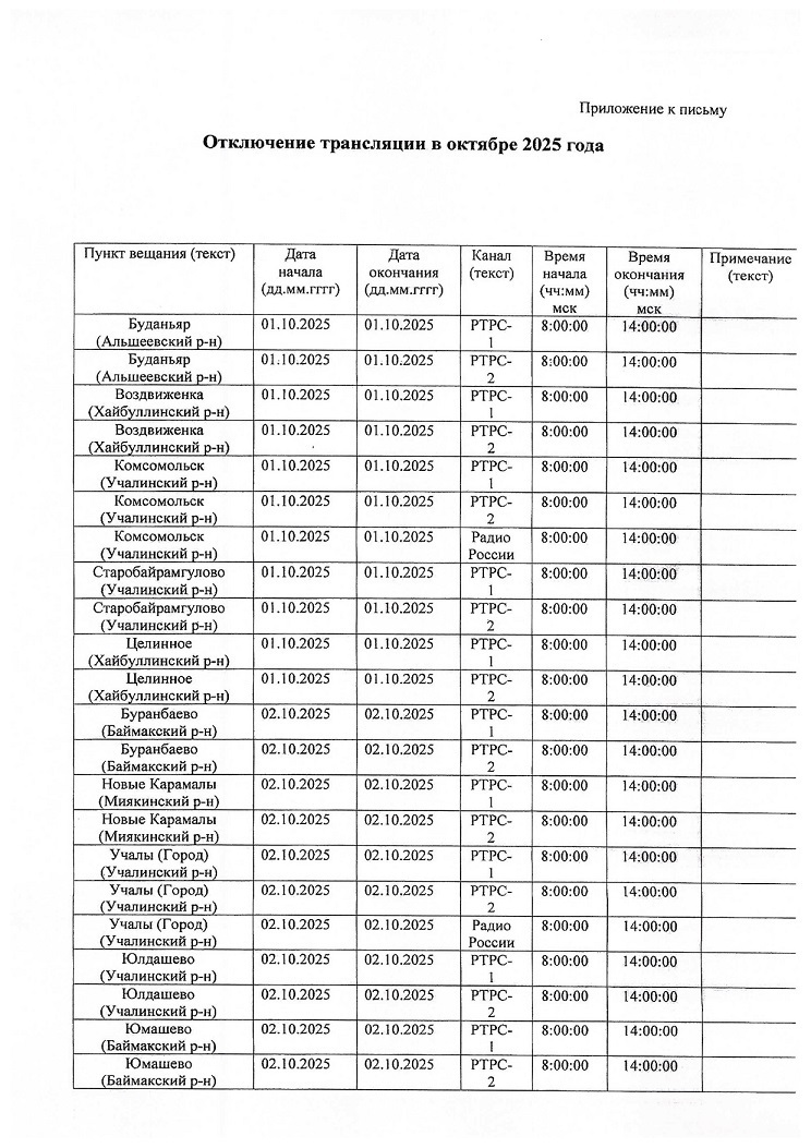
В течение октября, как сообщает "Республика Башкортостан", теле- и радиовещание будут отключаться по графику в каждом из населенных пунктов республики, что связано с профилактическими работами. Продолжительность отключения составит 6 часов. График отключений - ниже.

 

Телевещание и радиовещание будут временно отключены
Телевещание и радиовещание будут временно отключены
Телевещание и радиовещание будут временно отключены
Телевещание и радиовещание будут временно отключены
Телевещание и радиовещание будут временно отключены
Телевещание и радиовещание будут временно отключены
Телевещание и радиовещание будут временно отключены
Автор: Айрат Сахратов
Читайте нас